12. Sınıf Fizik Çembersel Hareket Testi

Çembersel hareket bilgini test et: açısal hız, merkezcil kuvvet ve viraj!


📚 Konu Anlatımı 👇 Teste Git+

🔄 Düzgün Çembersel Hareket

📐 Temel Kavramlar

Bir cisim sabit hızla çember yörüngede hareket ediyorsa buna düzgün çembersel hareket denir. Hız büyüklüğü sabit olsa da yönü sürekli değiştiği için cisim ivmelidir.

🔢 Periyot ve Frekans

  • Periyot (T): Bir tam turun tamamlanma süresi. Birimi saniyedir (s).
  • Frekans (f): Birim zamanda yapılan tur sayısı. f = 1/T. Birimi Hz’dir.
  • Periyot arttıkça frekans azalır, frekans arttıkça periyot azalır.

⚡ Açısal Hız (ω)

Birim zamanda taranan açıdır. Formülü:

ω = 2π / T = 2πf

Önemli: Aynı periyotla dönen cisimler, yarıçapları farklı olsa bile aynı açısal hıza sahiptir. Açısal hız yarıçaptan bağımsızdır.

📏 Çizgisel Hız (v)

Cismin çember üzerindeki anlık hız büyüklüğüdür:

v = ω · r = 2πr / T

Aynı açısal hızla dönen cisimlerde, yarıçapı büyük olan cismin çizgisel hızı daha büyüktür.

🎯 Merkezcil İvme ve Kuvvet

Çembersel harekette cismi yörüngede tutan kuvvet, her an merkeze doğru yönelir:

  • Merkezcil ivme: a = v2/r = ω2r
  • Merkezcil kuvvet: F = m·v2/r = m·ω2·r
  • Bu kuvvet yeni bir kuvvet değildir; ip gerilimi, sürtünme, yerçekimi gibi mevcut kuvvetlerin bileşkesidir.

⚙️ Dişli ve Kasnak Sistemleri

İki dişli birbirine bağlıysa:

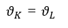
  • Temas noktasında çizgisel hızlar eşittir: v1 = v2 → ω1·r1 = ω2·r2
  • Büyük dişli yavaş, küçük dişli hızlı döner.
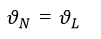
  • Aynı eksene perçinlenmiş dişliler: Açısal hızları eşittir (ω1 = ω2), çizgisel hızları yarıçapla orantılıdır.

🚗 Virajda Araç Hareketi

Yatay düzlemde viraj (sürtünmeli):

  • Merkezcil kuvveti sürtünme sağlar: Fs = m·v2/r
  • Maksimum güvenli hız: vmax = √(k·g·r)
  • Bu hız kütleden bağımsızdır! Ağır veya hafif araç aynı maksimum hızla viraj alabilir.

Eğik viraj (sürtünmesiz):

  • Merkezcil kuvveti ağırlığın yatay bileşeni sağlar.
  • tan(θ) = v2/(g·r) bağıntısıyla eğim açısı ve hız ilişkilidir.
  • Belirli bir eğimde sadece tek bir hız değeri için araç güvenle viraj alabilir.

🌀 Derişim Etkisi ve Özel Durumlar

  • Silindirik oda (yapay yerçekimi): İç yüzeyi sürtünmeli dönen bir silindirde cisim düşeyde dengede kalır. Normal kuvvet merkezcil kuvveti, sürtünme ağırlığı dengeler.
  • Yer değiştirme: Çembersel harekette A noktasından B noktasına giderken yer değiştirme, iki nokta arasındaki doğrusal mesafedir (kiriş uzunluğu).

Hatırla: Periyotları eşit olan cisimler aynı ω’ya sahiptir ama çizgisel hızları farklı olabilir (yarıçapa bağlı).

⚠️ Test İpucu: Dişli sistemlerinde “temas eden dişliler → çizgisel hız eşit”, “aynı eksene bağlı dişliler → açısal hız eşit” kuralını karıştırma!

12. Sınıf Fizik Çembersel Hareket Testi testini çözerek bilgilerinizi ölçün. Bu testte 10 soru bulunmaktadır.


Beğendiniz mi? Arkadaşlarınızla Paylaşın!

0

0 Yorum

E-posta adresiniz yayınlanmayacak. Gerekli alanlar * ile işaretlenmişlerdir